RESOLUCIÓN CRA 428 DE 2007
(septiembre 25)
Diario Oficial No. 46.783 de 16 de octubre de 2007
COMISIÓN DE REGULACIÓN DE AGUA POTABLE Y SANEAMIENTO BÁSICO
Por la cual se presenta el proyecto de resolución “Por la cual se expide el Régimen de Calidad y Descuentos para el Servicio de Acueducto y se dictan otras disposiciones” y se inicia el proceso de discusión directa con los suscriptores o usuarios y agentes del sector.
LA COMISIÓN DE REGULACIÓN DE AGUA POTABLE Y SANEAMIENTO BÁSICO,
en ejercicio de sus facultades legales, en especial de las conferidas por la Ley 142 de 1994, los Decretos 1524 de 1994 y 2882 de 2007, y
CONSIDERANDO:
Que el artículo 2o de la Constitución Política consagra como uno de los fines esenciales del Estado facilitar la participación de todos en las decisiones que los afectan;
Que el inciso 3o del artículo 78 de la Constitución Política establece que el Estado garantizará la participación de consumidores y suscriptores o usuarios en el estudio de las disposiciones que les conciernen;
Que la Corte Constitucional, en Sentencia C-150 de 2003, definió cuatro criterios guía para la participación ciudadana frente a las Comisiones de Regulación, a saber:
i) que los ciudadanos reciban la información correspondiente sobre el contenido proyectado de la futura regulación de manera oportuna.
ii) que puedan presentar propuestas.
iii) que las propuestas que presenten sean consideradas por la comisión de regulación competente en cada caso; y
iv) que la Comisión responda motivadamente las propuestas que se le formulen en relación con la regulación que por su especial trascendencia despertó el interés de los suscriptores o usuarios.
Que el Decreto 2696 de 2004 definió las reglas mínimas para garantizar la divulgación y participación en las actuaciones de las Comisiones de Regulación;
Que para garantizar la participación ciudadana de que trata la Carta Fundamental, la normatividad vigente y el citado pronunciamiento de la Corte Constitucional, se hace necesario establecer el procedimiento para la divulgación, discusión con la comunidad y consultas públicas de la regulación sobre calidad y descuentos en la prestación del servicios de acueducto.
Que en mérito de lo anterior,
RESUELVE:
ARTÍCULO 1o. Hacer público el proyecto de resolución “por la cual se expide el Régimen de Calidad y Descuentos para el servicio de Acueducto y se dictan otras disposiciones”, en los siguientes términos:
“RESOLUCION CRA No... de 2007”
“(XX de XXXX de 2007)”
por la cual se expide el Régimen de Calidad y Descuentos para el Servicio de Acueducto y se dictan otras disposiciones.
“LA COMISION DE REGULACION DE AGUA POTABLE Y SANEAMIENTO BASICO”
En ejercicio de sus atribuciones legales, en especial las conferidas en la Ley 142 de 1994, en el Decreto 1524 de 1994 y en el Decreto 2882 de 2007, y
“CONSIDERANDO
Que el artículo 334 de la Constitución Política consagra que la dirección general de la economía estará a cargo del Estado, el cual intervendrá por mandato de la ley, entre otras actividades, en los servicios públicos y privados, para racionalizar la economía con el fin de conseguir el mejoramiento de la calidad de vida de los habitantes, la distribución equitativa de las oportunidades y los beneficios del desarrollo y la preservación de un ambiente sano;
Que el artículo 336 de la Constitución Política señala que ningún monopolio podrá establecerse sino como arbitrio rentístico, con una finalidad de interés público o social y en virtud de la ley;
Que el artículo 365 de la Constitución Política dispuso que los servicios públicos son inherentes a la finalidad social del Estado y que es deber del Estado asegurar su prestación eficiente a todos los habitantes del territorio nacional;
Que el artículo 366 de la Constitución Política dispone que el bienestar general y el mejoramiento de la calidad de vida de la población son finalidades sociales del Estado, para lo cual este tendrá como objetivo fundamental de su actividad la solución de las necesidades insatisfechas de salud, de saneamiento ambiental y de agua potable, entre otras;
Que el artículo 367 de la Constitución Política determina que la ley fijará las competencias relativas a la prestación de los servicios públicos domiciliarios, su cobertura, calidad y financiación, el régimen tarifario y las entidades competentes para fijar las tarifas;
Que el artículo 370 de la Constitución Política dispone que corresponde al Presidente de la República señalar, con sujeción a la ley, las políticas generales de administración y control de eficiencia de los servicios públicos domiciliarios;
Que el artículo 68 de la Ley 142 de 1994 dispuso que el Presidente de la República señalará las políticas generales de administración y control de eficiencia de los servicios públicos domiciliarios, por medio de las comisiones de regulación;
Que el Decreto 1524 de 1994 delegó las funciones del Presidente de la República, a las que se refiere el artículo 68 y las disposiciones concordantes de la Ley 142 de 1994, para los servicios de acueducto, alcantarillado y aseo, en la Comisión de Regulación de Agua Potable y Saneamiento Básico;
Que en el artículo 73 de la Ley antes citada se establecen las funciones y facultades generales de las comisiones de regulación en el siguiente sentido: “(...) tienen la función de regular los monopolios en la prestación de los servicios públicos, cuando la competencia no sea, de hecho, posible; y, en los demás casos, la de promover la competencia entre quienes presten servicios públicos, para que las operaciones de los monopolistas o de los competidores sean económicamente eficientes, no impliquen abuso de la posición dominante, y produzcan servicios de calidad. Para ello tendrán las siguientes funciones y facultades especiales: (...)”;
Que para el cumplimiento de las funciones y facultades generales establecidas en el artículo 73, en los numerales del mismo artículo se establecieron una serie de funciones y facultades especiales entre las que se encuentran las siguientes:
-- Numeral 73.4: “Fijar las normas de calidad a las que deben ceñirse las empresas de servicios públicos en la prestación del servicio”;
-- Numeral 73.11: “Establecer fórmulas para la fijación de las tarifas de los servicios públicos (...)”;
-- Numeral 73.21: “Señalar, de acuerdo con la ley, criterios generales sobre abuso de posición dominante en los contratos de servicios públicos, y sobre la protección de los derechos de los usuarios en lo relativo a la facturación, comercialización y demás asuntos relativos a la relación de la empresa con el usuario”;
Que en el artículo 2o de la Ley 142 de 1994 se establece en cuanto a la intervención del Estado en los servicios públicos, que esta se hará conforme a las reglas de competencia de que trata la misma ley, en el marco de lo dispuesto en los artículos 334, 336, y 365 a 370 de la Constitución Política, para que entre otros se cumplan los fines de:
– Garantizar la calidad del bien objeto del servicio público y su disposición final para asegurar el mejoramiento de la calidad de vida de los usuarios.
– Prestación continua e ininterrumpida, sin excepción alguna, salvo cuando existan razones de fuerza mayor o caso fortuito o de orden técnico o económico que así lo exijan.
– Prestación eficiente;
Que el artículo 3o de la Ley 142 de 1994 establece que “Todos los prestadores quedarán sujetos, en lo que no sea incompatible con la Constitución o con la ley, a todo lo que la ley dispone para las empresas y sus administradores y, en especial, a las regulaciones de las comisiones, al control, inspección y vigilancia de la Superintendencia de Servicios Públicos, y a las contribuciones para aquellas y esta”;
Que uno de los instrumentos para la intervención estatal en los servicios públicos domiciliarios es el ejercicio de las atribuciones sobre regulación de la prestación de dichos servicios teniendo en cuenta las características de cada región; la fijación de metas de eficiencia, cobertura y calidad, la evaluación de las mismas y la definición del régimen tarifario, conforme lo señala el artículo 3o, numeral 3.3 de la Ley 142 de 1994;
Que de conformidad con el numeral 3.9 del artículo 3o de la Ley 142 de 1994 también constituye instrumento de la intervención del Estado en los servicios públicos domiciliarios el respeto del principio de neutralidad, a fin de asegurar que no exista ninguna práctica discriminatoria en la prestación de los servicios;
Que el Decreto 1575 de 2007 estableció el Sistema para la Protección y Control de la Calidad del Agua para Consumo Humano, el cual tiene como objeto monitorear, prevenir y controlar los riesgos para la salud humana causados por su consumo, exceptuando el agua envasada;
Que los Ministerios de la Protección Social y de Ambiente, Vivienda y Desarrollo Territorial emitieron la Resolución 2115 de 2007 por medio de la cual se señalan características, instrumentos básicos y frecuencias del sistema de control y vigilancia para la calidad del agua para consumo humano;
Que el Capítulo II de la Resolución 2115 de 2007 define las características físicas y químicas del agua para consumo humano;
Que el artículo 11 de la citada Resolución define las características microbiológicas del agua para consumo humano;
Que el artículo 21 de la Resolución 2115 de 2007 define las frecuencias y número de muestras de control de la calidad física y química del agua para consumo humano que debe ejercer la persona prestadora, de acuerdo con el tamaño de la población atendida;
Que el artículo 22 de la Resolución 2115 de 2007 establece las frecuencias y número de muestras de control de la microbiológica del agua para consumo humano que debe ejercer la persona prestadora, de acuerdo con el tamaño de la población atendida;
Que el Capítulo VI de la Resolución 2115 de 2007 define los procesos básicos de vigilancia de la calidad del agua para consumo humano por parte de la autoridad sanitaria;
Que el artículo 11 numeral 11.9 de la Ley 142 de 1994, determina que las empresas de servicios son civilmente responsables por los perjuicios ocasionados a los usuarios;
Que por disposición de los artículos 128 y 132 de la Ley 142 de 1994, el contrato de servicios públicos es uniforme, consensual y se rige por las disposiciones de la referida ley, por las condiciones especiales que se pacten con los usuarios, por las condiciones uniformes que señalen las empresas y por las normas del Código de Comercio y del Código Civil;
Que el artículo 136 de la Ley 142 de 1994, consagra el concepto de falla en la prestación del servicio, señalando que la prestación continua de un servicio de buena calidad, es la obligación principal de la empresa en el contrato de servicios públicos. Así mismo, que “el incumplimiento de la empresa en la prestación continua del servicio, se denomina, para efectos de esta Ley, falla en la prestación del servicio (...)”;
Que el artículo 137 de la Ley 142 de 1994 establece que: “La falla del servicio da derecho al suscriptor o usuario, desde el momento en el que se presente, a la resolución del contrato, o a su cumplimiento con las siguientes reparaciones:
137.1. A que no se le haga cobro alguno por conceptos distintos del consumo, o de la adquisición de bienes o servicios efectivamente recibidos, si la falla ocurre continuamente durante un término de quince (15) días o más, dentro de un mismo período de facturación. El descuento en el cargo fijo opera de oficio por parte de la empresa.
137.3. A la indemnización de perjuicios, que en ningún caso se tasarán en menos del valor del consumo de un día del usuario afectado por cada día en que el servicio haya fallado totalmente o en proporción a la duración de la falla; más el valor de las multas, sanciones o recargos que la falla le haya ocasionado al suscriptor o usuario; más el valor de las inversiones o gastos en que el suscriptor o usuario haya incurrido para suplir el servicio.
La indemnización de perjuicios no procede si hay fuerza mayor o caso fortuito.
No podrán acumularse, a favor del suscriptor o usuario, el valor de las indemnizaciones a las que dé lugar este numeral con el de las remuneraciones que reciba por las sanciones impuestas por las autoridades, si tienen la misma causa”.
Que el artículo 139 de la Ley 142 de 1994 determina que no es falla en la prestación del servicio la suspensión que haga la empresa para: “Hacer reparaciones técnicas, mantenimientos periódicos y racionamientos por fuerza mayor, siempre que de ello se dé aviso amplio y oportuno a los suscriptores o usuarios” y “Evitar perjuicios que se deriven de la inestabilidad del inmueble o del terreno, siempre que se haya empleado toda la diligencia posible, dentro de las circunstancias, para que el suscriptor o usuario pueda hacer valer sus derechos”;
Que el artículo 148 de la Ley 142 de 1994, establece que “(...) No se cobrarán servicios no prestados, tarifas, ni conceptos diferentes a los previstos en las condiciones uniformes de los contratos, ni se podrá alterar la estructura tarifaria definida para cada servicio público domiciliario”;
Que de conformidad con el artículo 27 del Decreto 302 de 2000, “Cuando ocurren fallas continuas en la prestación del servicio durante quince (15) días o más, dentro de un mismo periodo de facturación, la entidad prestadora de los servicios públicos no podrá facturar el cargo fijo de dicho periodo”;
Que de acuerdo con los artículos 1613 y 1614 del Código Civil, el perjuicio o la pérdida proveniente del incumplimiento de una obligación, de su cumplimiento imperfecto o retardado constituye un daño emergente y la ganancia o provecho dejados de percibir por las mismas razones constituyen lucro cesante, que deben ser reparados;
Que el artículo 14 de la Ley 689 de 2001 determinó que corresponde a la Superintendencia de Servicios Públicos Domiciliarios, en desarrollo de sus funciones de inspección y vigilancia, establecer, administrar, mantener y operar un sistema único de información que se surtirá de la información proveniente de los prestadores de servicios públicos, el cual tendrá entre sus propósitos el de apoyar las funciones asignadas a las comisiones de regulación;
Que el artículo 15 de la Ley 689 de 2001 determinó que corresponde a la Superintendencia de Servicios Públicos Domiciliarios elaborar el formato único de información que sirva de base para alimentar el sistema único de información, para lo cual deberá tener en cuenta, entre otros, los criterios, características, indicadores y modelos de carácter obligatorio que permitan evaluar la gestión y resultados de los prestadores de servicios públicos y las necesidades y requerimientos de información de las comisiones de regulación;
Que la Comisión de Regulación de Agua Potable y Saneamiento Básico expidió la Resolución 287 de 2004, “por la cual se establece la metodología tarifaria para regular el cálculo de los costos de prestación de los servicios de acueducto y alcantarillado”;
Que el artículo 87, numeral 87.8, de la Ley 142 de 1994 establece que “Toda tarifa tendrá un carácter integral, en el sentido de que supondrá una calidad y grado de cobertura del servicio, cuyas características definirán las comisiones reguladoras”, en virtud de lo cual la misma disposición determina que “Un cambio en estas características se considerará como un cambio en la tarifa”;
Que la regulación de los precios a ser cobrados por los prestadores de los servicios de acueducto, busca dar las señales para incentivar que estos prestadores se comporten como lo harían en un mercado competitivo, donde el equilibrio oferta demanda está determinado por tres variables que son la cantidad, la calidad y el precio;
Que la regulación sectorial de Colombia ha regulado la relación cantidad precio, y ha reiterado el cumplimiento de las normas de calidad de superior jerarquía, pero se hace necesario brindar señales específicas que relacionen variaciones en la calidad con variaciones en la tarifa;
Que el desarrollo y aplicación de las metodologías tarifarias eficientes han contribuido a brindar mayor viabilidad a la prestación de los servicios y ha contribuido de manera importante al incremento de las coberturas, pero aún existe una alta heterogeneidad en la calidad del servicio prestado en el país;
Que la regulación supone que las tarifas adoptadas por las empresas deben permitir el suministro del servicio en las condiciones óptimas de calidad determinadas por las normativas asociadas a los diferentes aspectos del servicio;
Que la calidad se define en dos dimensiones específicas que son: calidad técnica del servicio y calidad de la gestión comercial, aspectos sobre los cuales el país cuenta con normatividad desarrollada por diferentes entes, según su competencia;
Que teniendo en cuenta estas dimensiones de calidad, se revisaron los indicadores sectoriales utilizados frecuentemente, tanto a nivel nacional como internacional, con el fin de establecer los indicadores que constituirán una proxy a la calidad del servicio prestado y que permitirán determinar el nivel descuento con relación a los costos referencia o la compensación en los casos en que así se determine, los cuales se convierten en elementos que permiten generar incentivos económicos con el objetivo de alcanzar las metas descritas con anterioridad;
Que el “Régimen de Calidad y Descuentos para el Servicio de Acueducto” definido mediante la presente resolución aplica sin detrimento de la normatividad asociada a los diferentes parámetros de calidad y el nivel exigible a sus indicadores, de acuerdo con lo señalado en el Decreto 1575 de 2007, “por el cual se establece el Sistema para la Protección y Control de la Calidad del Agua para Consumo Humano”, en la Resolución 2115 de 2007, “Por medio de la cual se señalan características, instrumentos básicos y frecuencias del sistema de control y vigilancia para la calidad del agua para consumo humano”; y en las demás disposiciones que complementen el Decreto 1575.
Que la presente resolución aplica sin perjuicio de las sanciones determinadas por las autoridades de salud y la Superintendencia de Servicios Públicos Domiciliarios por incumplimiento de las disposiciones definidas por el Decreto 1575 de 2007 y la Resolución 2115 de 2007, o de las indemnizaciones definidas por los Jueces de la República asociadas a perjuicios causados a los usuarios por deficiencias en las prestación del servicio.
Que en mérito de lo expuesto, la Comisión de Agua Potable y Saneamiento Básico;”
“RESUELVE”:
“TITULO I”
DISPOSICIONES GENERALES
“Artículo 1o. Objeto. El objeto de la presente resolución es establecer el Régimen de Calidad y Descuentos asociados a la calidad del servicio de acueducto, bajo el concepto de integralidad tarifaria, con el fin de generar incentivos económicos necesarios para que los prestadores del servicio de acueducto incrementen de manera significativa su desempeño en lo que respecta a la calidad del servicio.
El citado régimen aplica sin detrimento de la normatividad asociada a los diferentes parámetros de calidad del agua (Decreto 1575 de 2007, la Resolución 2115 de 2007 y las demás disposiciones que complementen el citado Decreto) o de las responsabilidades asociadas a los perjuicios causados a los usuarios por deficiencias en la prestación del servicio.
Artículo 2o. Estructura. El Régimen de Calidad y Descuentos para el servicio de acueducto está basado en indicadores a través de los cuales se estima el nivel de calidad de servicio en lo concerniente a su gestión técnica y comercial. En lo que respecta a la calidad técnica, se definen dos indicadores: El Indicador de Calidad Técnica del Servicio (ICTS) y el Indicador de Suspensión Ininterrumpida en la Prestación del Servicio (ISIS). A su vez, el ICTS, se construye mediante la combinación de tres indicadores que reflejan calidad de agua potable (ICAP), calidad en la presión (ICP), continuidad del servicio (ICON). El ISIS por su parte representa el número máximo de días en los cuales se presentó una suspensión continua en la prestación del servicio.
Por otra parte, la gestión comercial cuenta con dos indicadores: el Indicador de número Quejas y Reclamos resueltos a favor del usuario (IQR) y el indicador de servicio al cliente (ISC). A partir del valor de estos indicadores se calculan descuentos y compensaciones que deben ser reconocidas a cada suscriptor.
El ICTS genera descuentos sobre el valor del cargo por consumo (exceptuando las tasas ambientales), mientras que ISIS e IQR generan descuentos sobre el cargo fijo. Estos descuentos benefician de igual manera a todos los suscriptores que forman parte de un circuito (en el caso del ICTS y el ISIS) o un sistema (en el caso del IQR).
Por otra parte, las compensaciones son determinadas por el valor del ISC, y se encuentran asociadas a la tardanza en el tiempo de atención que presenta un prestador frente a una solicitud relacionada con el servicio, y en consecuencia, son concedidas específicamente al suscriptor que realiza dicha solicitud.
La Tabla 1 presenta un esquema general sobre la estructura del Régimen de Calidad y Descuentos.
Tabla 1
Estructura del Régimen de Calidad y Descuentos para el Servicio de Acueducto
| Dimensión | Indicador | Descripción | Incentivo Económico | Beneficiario | Artículo |
| Gestión Técnica | ICTS | Calidad técnica del servicio que combina calidad de agua potable (ICAP), presión (ICP) y continuidad del servicio (ICON). | Descuento en el cargo por consumo. | Suscriptores del Circuito. | 12 |
| ISIS | Suspensión Ininterrumpida en la prestación del servicio. | Descuento en el cargo fijo. | Suscriptores del Circuito. | 14 | |
| Gestión Comercial | IQR | Quejas y reclamos a favor del usuario. | Descuento en el cargo fijo. | Suscriptores del Sistema. | 15 |
| ISC | Servicio al cliente, asociado a la tardanza en atención de solicitudes relacionadas con el servicio. | Compensación. | Suscriptor que presenta la solicitud. | 17 | |
TITULO II
GESTION TECNICA DEL SERVICIO
CAPITULO I:
Indicador de Calidad de Agua Potable (ICAP).
Artículo 3o. Cálculo del Indicador de Calidad del Agua De Agua Potable (ICAP). La expresión que permite determinar este indicador es la siguiente:
![]()
Donde:
ICUMCAL i: Índice de cumplimiento en número de muestras de calidad para el parámetro i-ésimo, definido de acuerdo lo a señalado en el artículo 4o.
ICALi: Indicador de calidad del agua mensual promedio para el parámetro i-ésimo, definido en el artículo 5o.
FPi: Factor de peso para el parámetro i-ésimo, definido en el artículo 7o.
Los parámetros a los cuales hace referencia el presente Artículo son los siguientes:
Físicos: Turbiedad y Color.
Químicos: Hierro Total, Sulfatos, pH y Cloro Residual.
Microbiológicos: Escherichia coli y Coliformes totales.
PARÁGRAFO. En los casos en donde se usen desinfectantes diferentes al cloro los valores aceptables serán definidos de acuerdo con los criterios señalados por el Ministerio de la Protección Social. De igual manera, en caso de utilizar como coagulante sustancias químicas diferentes al sulfato de aluminio en el tratamiento del agua para consumo humano, los valores aceptables para dicha sustancia serán definidos por el Ministerio de la Protección Social. Las modificaciones necesarias sobre los parámetros considerados dentro de la presente resolución se indicarán por parte de la Comisión una vez sean definidos dichos estándares.
Artículo 4. Indice de Cumplimiento en Calidad (ICUMCAL). Este índice establece el cumplimiento en el número de muestras de control que deben ser analizadas mensualmente, para cada uno de los parámetros definidos en el Artículo 3, con relación a las frecuencias establecidas por la Resolución 2115 de 2007, o la que la sustituya, modifique o adicione. El cálculo del índice ICUMCAL se efectúa para cada parámetro i mediante la siguiente expresión:

Donde:
NE,R,i Número de muestras de control analizadas durante el mes para el parámetro i-ésimo.
NE,O,i Número de muestras de control que debe analizar el prestador de acuerdo con el artículo 21 de la Resolución 2115 de 2007, en el caso de los parámetros físicosy químicos, o con el Artículo 22 de la misma resolución, en el caso de los parámetros microbiológicos.
Cuando se hayan analizado más muestras que las requeridas, el valor de iCALICUMserá uno. Así mismo, cuando, dada la población atendida por persona prestadora en un municipio, la Resolución 2115 de 2007 no defina ninguna frecuencia específica para el número de muestras correspondientes a alguno de los parámetros definidos por el artículo 3o, se asumirá que el índice de cumplimiento de este parámetro será igual a cero, y se dará a los factores de peso de los parámetros restantes el tratamiento descrito en el parágrafo del artículo 7o.
Artículo 5o. Indicador de Calidad (ICALi). El indicador de calidad del agua mensual promedio para cada parámetro se calculará de la siguiente manera:

Donde:
ICALi Indice de calidad del agua mensual promedio para el parámetro i-ésimo.
NE,R,i Número de muestras de control analizados durante el mes para el parámetro i-ésimo.
ICALim Indice de calidad del agua para cada una de las m muestras tomadas en un mes, correspondientes al parámetro i-ésimo.
Las formas funcionales para el cálculo del ICALim se definen en el siguiente artículo.
Artículo 6o. Indicador de Calidad por Muestra (ICALim). La ecuación que debe ser utilizada para el cálculo del indicador de calidad asociado a cada muestra, depende del parámetro analizado. Las ecuaciones correspondientes a cada parámetro se definen en la Tabla 2 de la presente resolución. Se deben tener en cuenta las siguientes definiciones que son comunes a todos los parámetros:
C Es la concentración del parámetro analizado en la muestra de control, determinada de acuerdo con los requisitos metodológicos definidos en el Decreto 1575 de 2007;
CL Es la concentración límite del parámetro de acuerdo con la Resolución 2115 de 2007, la que lo sustituya, modifique o adicione;
IM Es el valor máximo que puede adoptar el indicador (IM = 100).
Tabla 2
Ecuaciones para la determinación de indicador de calidad por muestra.
| Parámetro | Ecuación calcular ICALim | Constantes Asociadas |
| Escherichia coli | ICALm = IM si C = CL ICALm = 0 si C > CL | CL = 0 UFC/100 cm3 |
| Coliformes Totales | CL = 0 UFC/100 cm3 | |
| Turbiedad | ICALi = IM si C ICALi = Ke-bC si C > CL | CL = 5 UNT K= 442,66 b= 0,2975 |
| Color | CL = 15 K= 305,18 b= 0,0744 | |
| Hierro Total | CL = 0,3 K= 771,60 b= 6,8110 | |
| Sulfatos | CL = 250 K= 10.159,37 b= 0,0185 | |
| PH | ICALi = IM si CLMínimo | CLMínimo = 6,5 CLMáximo = 9 Potencia (n) = 6 |
| Cloro Residual Libre | CLMínimo = 0,3 CLMáximo = 2 Potencia (n) = 0,5 | |
PARÁGRAFO. En el caso de la turbiedad la concentración límite (CL) será modificada de forma que se alcance el valor objetivo de dos Unidades Nefelométricas de Turbiedad (UNT), de acuerdo con los plazos definidos en el artículo 33 de la Resolución 2115 de 2007.
Artículo 7o. Factores de Peso (FPi). Los factores de peso para cada uno de los parámetros definidos en el artículo 3 son los siguientes:
Tabla 3
Factores de peso para los parámetros que conforman el ICAP[1]
| Parámetro | FP |
| Escherichia coli | 0,25 |
| Coliformes Totales | 0,15 |
| Turbiedad | 0,10 |
| Color | 0,10 |
| Hierro Total | 0,08 |
| Parámetro | FP |
| Sulfatos | 0,07 |
| pH | 0,10 |
| Cloro Residual Libre | 0,15 |
| SUMA | 1,00 |
PARÁGRAFO. En los casos en los cuales, dentro de las disposiciones señaladas en la Resolución 2115 de 2007, no se determine una frecuencia de medición específica para alguno de los parámetros definidos en el Artículo 3 de la presente resolución, los factores de peso de los parámetros restantes, especificados en la Tabla 3, deberán ser ajustados de acuerdo con la siguiente fórmula:

Donde:
FPiAjustado: Factor de peso de cada uno de los parámetros para los cuales, dada la población atendida por persona prestadora en un municipio se define una frecuencia de muestreo mensual o superior, dentro de los artículos 21 y 22 de la Resolución 2115 de 2007.
FPi: Factor de peso para cada uno de los i parámetros definidos en el artículo 3o.
FN: Es la suma de los factores de peso, de acuerdo con lo definido en la Tabla 3 de la presente resolución, asignada a los parámetros que no tienen una frecuencia específica de muestreo.
De esta forma, la suma de los FPiAjustado siempre debe ser igual a uno.
CAPITULO II.
Indicador de precios (ICP).
Artículo 8o. Indicador de Presión (ICP). Este indicador debe ser calculado mediante la siguiente ecuación:
![]()
Donde:
ICUMPRE: Es el índice de cumplimiento de mediciones de presión, definido en el artículo 9o.
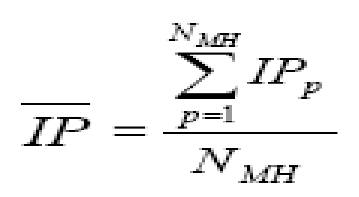
IP: Es el indicador de presión mensual promedio, que se obtiene de la siguiente expresión:

En la cual:
IPP Es el índice de presión para cada una de las p mediciones individuales, cuyo cálculo se realiza de acuerdo con lo señalado en el artículo 10.
NMH Número de mediciones de presión realizadas durante el mes.
Artículo 9o. Indice de Cumplimiento en Presión (ICUMPRE). El índice de cumplimiento en mediciones de presión, debe ser estimado mediante la siguiente ecuación:

Donde:
NMH Número de mediciones de presión realizadas durante el mes.
NMO Número de mediciones definidas con base en la siguiente expresión:

En la cual:
PM Son los Puntos de Muestreo (incluidos los puntos adicionales) definidos en la Tabla 4 de acuerdo con la complejidad del sistema.
FL Es la Frecuencia de Lectura definida en la Tabla 4 de acuerdo con la complejidad del sistema.
Tabla 4
Determinación de mediciones con base en la complejidad del sistema[2]
| Complejidad | # Puntos de Muestreo | Puntos Adicionales | Frecuencia de Lectura |
| Baja | 0 | No hay puntos adicionales | NA |
| Media | 3 | Un (1) punto de muestreo adicional por cada 1.000 suscriptores adicionales, a partir de 1.500 suscriptores. | Dos (2) veces al mes, una en horario de consumo mínimo y otra en horario de consumo máximo. |
| Medio-Alta | 4 | Un (1) punto de muestreo adicional por cada 1.000 suscriptores adicionales, a partir de 2.500 suscriptores. | Cuatro (4) veces al mes, dos en horario de consumo mínimo y dos en horario de consumo máximo. |
| Alta | 13 | Un (1) punto de muestreo adicional por cada 5.000 suscriptores adicionales, a partir de 12.000 suscriptores. | Cuatro (4) veces al mes, dos en horario de consumo mínimo y dos en horario de consumo máximo |
En ningún caso, el valor de ICUMPRE puede ser superior a la unidad. En caso de que se hayan efectuado más mediciones que las requeridas, el valor de ICUMPRE será 1.
PARÁGRAFO. Para los sistemas de complejidad baja, en donde no se tiene definida una frecuencia específica de muestreo, el ICUMPRE será igual a cero y el factor de ponderación del indicador de presión (ICP) deberá ser distribuido entre los indicadores de calidad y continuidad, de acuerdo con lo señalado en el Parágrafo del Artículo 12 de la presente Resolución.
Artículo 10. Indicador de Presión por muestra (IP). El índice de presión IP para cada una de las p mediciones se calculará utilizando la siguiente ecuación:
![]()

Donde:
IMAX Es el valor máximo que puede adoptar el indicador (IMAX = 100).
PMínimo Es la presión mínima aceptada de acuerdo con la complejidad del sistema, con base en los valores definidos en la Tabla 5 de la presente resolución.
PMínimo Es la presión mínima aceptada de acuerdo con la complejidad del sistema, con base en los valores definidos en la Tabla 5 de la presente resolución.
P En la presión registrada en cada una de las p mediciones.
El coeficiente (A), el exponente (ä) y la potencia (n), son constantes definidas de acuerdo con la complejidad del sistema, de acuerdo con lo señalado en la Tabla 6 de la presente resolución.
Tabla 5
Intervalos de Presión de acuerdo con la complejidad del sistema
| Complejidad | Presión Mínima | Presión Máxima |
| Baja y Media | 98,10 kPa | 588,60 kPa |
| Medio-Alta y Alta | 147,20 kPa | 588,60 kPa |
Fuente: RAS, 2000
Tabla 6
Constantes para el cálculo de IP de acuerdo con la complejidad del sistema[3]
| Constante | Complejidad Baja - Media | Complejidad Media Alta - Alta |
| Coeficiente (A) | 1,918408468 | 1,450169702 |
| Exponente (ä) | 0,020285253 | 0,017943687 |
| Potencia (n) | 0,75 | 0,75 |
PARÁGRAFO. Cada una de las mediciones de presión a las que se refiere el presente artículo debe hacerse en la red de distribución, en las horas pico de consumo así como en las de consumo mínimo.
La ubicación de los puntos de lectura debe incluir los sitios más distantes de la red de distribución así como aquellos que por criterios técnicos resulten representativos de las condiciones críticas de presión. Adicionalmente, la distribución de los puntos de muestra se hará acorde con la densidad de usuarios y no se deben incluir los puntos de presión sobre la red matriz.
CAPITULO III
Indicador de Continuidad (ICON).
Artículo 11. Indicador de Continuidad (ICON). El indicador de continuidad debe ser determinado para cada uno de los circuitos definidos por el prestador. Dentro del contexto de la presente Resolución se define circuito como el sector cuyo suministro proviene de una tubería secundaría y cuya área es como mínimo un kilómetro cuadrado[4].
La expresión para determinar el índice de continuidad es la siguiente:
![]()
Donde:
ICONl: Es el índice de continuidad correspondiente al l-ésimo circuito.
Inl: La fracción de tiempo con suspensiones no avisadas mensualmente en el circuito l-ésimo, la cual es calculada de acuerdo con la siguiente expresión:

En la cual:
tnk,j,l: Número de horas de la suspensión no avisada j en el día k, realizada en el l-ésimo circuito.
Iml: Suspensiones programadas en el circuito l-ésimo que afectan el indicador de continuidad.
Im1=Ip1-Ipmax Si Ip1>Ipmax
Im1=0 Si Ip1
Ipmax

Donde:
Ipl: La fracción de tiempo con suspensiones avisadas por mantenimiento y reparaciones, por mes, en el l-ésimo circuito.
Ipmax: Es igual a 0,05 y representa la máxima fracción de tiempo correspondiente a cortes programados que son reconocidas sin que las mismas afecten al indicador de continuidad.
tmk,j,l: Número de horas de la suspensión avisada j por mantenimiento y reparaciones en el día k, correspondientes al circuito l-ésimo.
PARÁGRAFO. Se entenderá por suspensiones avisadas aquellas comunicadas, como mínimo, con 48 horas de anticipación a la realización de la suspensión.
CAPITULO IV
Indicador Calidad Técnica del Servicio (ICTS).
Artículo 12. Indicador de Calidad Técnica del Servicio (ICTS). Este indicador combina los indicadores de Calidad del Agua Potable (ICAP), Calidad de la Presión (ICP) y de Continuidad (ICON). Dado que el indicador de continuidad se determina por circuito, el ICTS cuenta con el mismo nivel de desagregación. El ICTS, así como los indicadores que lo conforman, varían entre 0 y 100, y su construcción se realiza a partir de la siguiente expresión:
ICTS1=FPICAP.ICAP+FPICP.ICP+FPICON.ICON1
Donde:
ICTSl Indicador de Calidad Técnica del Servicio para el l-ésimo circuito.
FPICAP Factor de ponderación para el indicador de calidad, igual a 0,70[5]
FPICP Factor de ponderación para el indicador de presión, igual a 0,10
FPICON Factor de ponderación para el indicador de continuidad, igual a 0,20
PARÁGRAFO. Para los sistemas de complejidad baja, en los cuales el ICP es igual a cero, el factor de ponderación para el indicador de calidad será igual a 0,778 y el factor de ponderación para el indicador de continuidad será igual 0,222.
Artículo 13. Periodicidad en el cálculo de ICTS. El ICTS, así como cada uno de sus componentes – ICAP, ICP e ICON –, está expresado sobre una base de cálculo mensual. Los prestadores deberán reportar al Sistema Único de Información (SUI) la información necesaria para el cálculo de este indicador con la misma periodicidad.
CAPITULO V
Indicador de Suspensión Ininterrumpida en la prestación del servicio (ISIS).
Artículo 14. Indicador de Suspensión Ininterrumpida en la prestación del servicio (ISISl). Este indicador es igual al número de días máximo en los cuales se presentó una suspensión continua en la prestación del servicio de acueducto para cada uno de los circuitos definidos en el artículo 11 de la presente resolución. Este conteo se realiza a partir del segundo día de suspensión y está expresado sobre una base de cálculo mensual.
TITULO III
CALIDAD DE LA GESTION COMERCIAL
CAPITULO I
Indicador de Quejas y Reclamos (IQR)
Artículo 15. Indicador de Quejas y Reclamos (IQRn). Medirá el número quejas y reclamos por fallas en la facturación resueltas a favor del usuario para el prestador n, comparándolas con respecto a las presentadas por los demás prestadores de su categoría. Para que los datos sean comparables se normalizan, expresando el número de quejas y reclamos presentados por cada mil suscriptores. Este indicador podrá adoptar valores entre 0 y 100, y será calculado de acuerdo con la siguiente expresión:
![]()
Donde:
![]()
Cuartil3 Percentil 75 de la muestra de datos que conforman cada uno de los grupos de comparación definidos en el artículo 27.
xn Número de quejas y reclamos por facturación resueltas a favor del usuario, ponderadas por instancia, registradas por el prestador n, expresadas por cada 1.000 suscriptores.
Mínimo Percentil cero o menor número de quejas
qrpn Número de quejas y reclamos en primera instancia de la empresa n
qrsn Número de quejas y reclamos en segunda instancia de la empresa n
qrtn Número de quejas y reclamos en tercera instancia de la empresa n
sn Número de suscriptores de la empresa n
G Factor agravante, igual a uno.
Para cada una de las variables definidas anteriormente, el número de quejas y reclamos, se refiere a aquellos realizados mensualmente por concepto de facturación y que además son resueltos a favor del usuario.
Artículo 16. Periodicidad en el cálculo de IQR. El IQR, está expresado sobre una base de cálculo mensual. Los prestadores deberán reportar al SUI la información necesaria para el cálculo de este indicador con la misma periodicidad.
CAPITULO II
Indicador de Servicio al Cliente (ISC)
Artículo 17. Indicador de Servicio al Cliente (ISC). Este indicador establece la tardanza registrada por un prestador frente una solicitud presentada por un suscriptor. La tardanza se establece con relación a los tiempos límite de cumplimiento (dh) definidos en la presente Resolución. Los tipos de solicitud considerados, así como sus tiempos límites de atención son definidos en el Artículo 18 de la presente Resolución. El cálculo del indicador se realiza por cada solicitud presentada de acuerdo con la siguiente expresión:
ISCh=kn-dn, si ISC<0, entonces ISC=0
Donde:
ISCh Indicador de Servicio al Cliente asociado a la solicitud h.
kh Días que tarda el prestador en atender la solicitud h.
dh Días establecidos para atender la solicitud h, de acuerdo con lo definido en el artículo 18.
Artículo 18. Tiempos límites de cumplimiento. Las solicitudes consideradas dentro del Régimen de Calidad y Descuentos, y los tiempos límites de cumplimiento (dh) se encuentran especificados en la siguiente tabla:
Tabla 7
Tiempos establecidos para atender solicitudes relacionadas con el servicio[6]
| Tipo Solicitud | dh |
| Reconexión | 5 días hábiles |
| Reinstalación | 2 días hábiles |
| Solicitud del servicio | 40 días hábiles |
| Cambio de medidor | 2 días |
| Reposición de acometida | 5 días |
| Revisión técnica de los medidores | 10 días |
TITULO IV
FORMULACION DE DESCUENTOS Y COMPENSACIONES
CAPITULO I
Formulación de Descuentos en el cargo por consumo.
Artículo 19. Formulación de descuentos asociados al ICTS. El Indicador de Calidad Técnica del Servicio (ICTSl) genera un descuento sobre el cargo por consumo para el servicio de acueducto, exceptuando el componente de tasas ambientales, para cada uno de los l circuitos definidos por el prestador. Este descuento aplica de la siguiente manera:
![]()
Donde:
CMOIDesc-Acl:Es la suma del costo medio de operación (CMO) y el costo medio de inversión (CMI) para el servicio de acueducto afectada por el descuento correspondiente al circuito l.
CMOIAc:Es la suma del costo medio de operación (CMO) y el costo medio de inversión (CMI) para el servicio de acueducto, establecidos mediante la aplicación de la Resolución CRA 287 de 2004, o la que la sustituya, modifique o adicione.
y Dcvl:Es el factor de descuento que se aplica sobre el cargo variable en el l-ésimo circuito, definido en el artículo 20.
Artículo 20. Factor de descuento sobre el cargo variable (DCV). Este factor está determinado por el desempeño de los prestadores, en lo que respecta a la calidad técnica del servicio dentro de cada circuito. Se calcula usando la siguiente fórmula:

En los cuales:
DMAX: Es el máximo descuento posible que puede ser aplicado al cargo variable. Para los prestadores del Grupo I Dmax será igual a 0,10; mientras que para los prestadores del Grupo II este valor será de 0,20, de acuerdo con lo definido en el artículo 27.
ICTS_Descl: Es el indicador de calidad técnica del servicio que se considera para efectos de la definición del descuento sobre el cargo variable que se aplica dentro de cada circuito. Su cálculo se realiza de acuerdo con la siguiente expresión:

Donde:
ICTSlM Es la meta definida para el indicador de calidad técnica del servicio en el l-ésimo circuito, de acuerdo con lo señalado en el artículo 29.
ICTSlR Es el promedio del índice de calidad técnica (ICTS) que presenta la empresa para el l-ésimo circuito durante los seis meses previos a la definición del descuento.
El factor de descuento sobre el cargo variable (DCV) se define con base en el desempeño de la empresa durante el semestre previo a la definición del descuento. Igualmente, el factor DCV será efectivo por un periodo de seis meses, tras lo cual se debe definir un nuevo factor, de acuerdo con las disposiciones contenidas en este Artículo.
CAPITULO II
Formulación de descuentos asociados al IQR
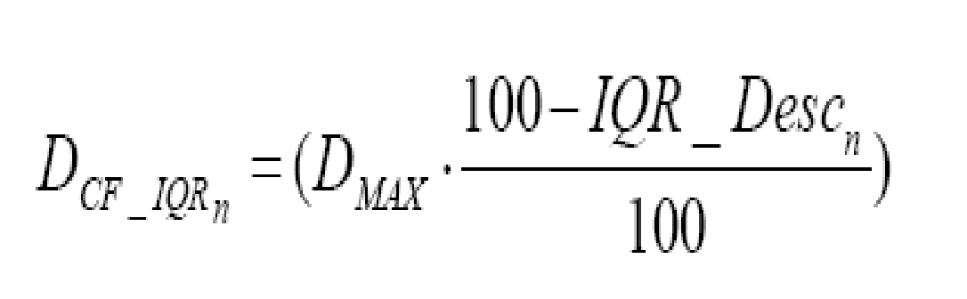
Artículo 21. Factor de descuento sobre el cargo fijo asociado al IQR (DCF_IQR ). Este factor está determinado por el desempeño de cada prestador, en lo que se refiere al número relativo de reclamaciones generadas dentro del proceso de facturación. Se calcula usando la siguiente fórmula:

En los cuales:
DMAX: Es el máximo descuento posible que puede ser aplicado al cargo fijo. Para los prestadores del Grupo I Dmax será igual a 0,10; mientras que para los prestadores del Grupo II este valor será de 0,20, de acuerdo con lo definido en el artículo 27.
IQR_Descn: Es el indicador de quejas y reclamos que se considera para efectos de la definición del descuento sobre el cargo fijo. Su cálculo se realiza de acuerdo con la siguiente expresión:

Donde:
xM,n Es la meta definida para el indicador de quejas y reclamos, correspondientes al prestador n, fijada con base en lo señalado en el artículo 29.
x R,n Es el promedio del número de quejas ponderadas (x) registrado por la n-ésima empresa durante el semestre anterior a la aplicación del descuento.
IQR R,n Es el promedio del IQR registrado por la empresa n durante el semestre anterior a la aplicación del descuento.
Dado que el IQRR se calcula con bases en la información registrada por cada una de las n empresas durante los seis meses previos a la aplicación del descuento, el cálculo del DCF_IQR también debe ser realizado con una periodicidad semestral.
CAPITULO III
Formulación de descuentos asociados al ISIS
Artículo 22. Factor de descuento sobre el cargo fijo asociado al ISIS (DCF_ISIS). Este factor está determinado por el número de días máximo en los cuales se presentó una suspensión continuada en la prestación del servicio, para cada uno de los circuitos definidos por el prestador. Se calcula usando la siguiente fórmula:

En los cuales:
D MAX_ISIS: Es el máximo descuento posible sobre el cargo fijo asociado al ISIS, igual s 0,80.
ISIS_AJl: Es el Indicador de Suspensión Ininterrumpida en la prestación del servicio para cada circuito ajustado de acuerdo con la siguiente expresión:

Donde:
ISISl Es el Indicador de Suspensión Ininterrumpida en la prestación del servicio por circuito, definido de acuerdo con lo señalado en el artículo 14.
CAPITULO IV
Definición del Descuento sobre el Cargo fijo
Artículo 23. Formulación de Descuentos en el cargo fijo. El descuento sobre el cargo fijo aplica de la siguiente manera:
![]()
Donde:
CMADesc_Acl: Es el costo medio de administración para el servicio de acueducto afectado por el descuento correspondiente al circuito l.
CMAAc Es el costo medio de administración para el servicio de acueducto, establecido mediante la aplicación de la Resolución CRA 287 de 2004, o la que la sustituya, modifique o adicione.
y DCFl: Es el factor de descuento que se aplica sobre el cargo fijo en el l-ésimo circuito, definido en el artículo 24.
Artículo 24. Factor de descuento sobre el cargo fijo (DCF). Este factor está determinado por la gestión comercial de los prestadores. Se calcula usando la siguiente fórmula:
![]()
Donde:
DCF_UQR: Factor de descuento sobre el cargo fijo asociado al IQR, definido en el artículo 21.
DCF_ISISl:Factor de descuento sobre el cargo fijo asociado al ISIS, definido en el artículo 22.
CAPITULO V
Definición de compensaciones
Artículo 25. Compensación según el indicador de servicio al cliente (ISC). El valor de la compensación asociada al incumplimiento en la atención de una solicitud, estará definido por el cargo por consumo y un volumen de compensación. El valor de la compensación será calculado de la siguiente manera:
![]()
Donde:
Comph: Es el valor de la compensación derivado del incumplimiento en la solicitud h.
CMPLAC: Es el costo medio de largo plazo para el servicio de acueducto, establecido mediante la aplicación de la Resolución CRA 287 de 2004, o la que la sustituya, modifique o adicione.
VComph: Es el volumen de compensación que debe ser reconocido al suscriptor, dado del incumplimiento asociado a la solicitud h. Este volumen se calcula de acuerdo con lo señalado en el Artículo 26 de la presente resolución.
Artículo 26. Volumen de compensación (VComph). Este volumen será estimado para cada solicitud h, usando la siguiente expresión:
![]()
Donde:
ISCh Indicador de Servicio al Cliente asociado a la h-ésima solicitud, de acuerdo con lo dispuesto en el Artículo 17 de la presente resolución.
FPComp Es un factor de ponderación de ISC, que adopta los valores señalados en la Tabla 8, dependiendo del tipo de solicitud.
Tabla 8
Factor de ponderación de ISC – FPComp[7]
| Tipo Solicitud | FPComp |
| Reconexión | 0,667 m3 día-1 |
| Reinstalación | 0,667 m3 día-1 |
| Solicitud del servicio | 0,667 m3 día-1 |
| Cambio de medidor | 0,333 m3 día-1 |
| Reposición de acometida | 0,333 m3 día-1 |
| Revisión técnica de los medidores | 0,333 m3 día-1 |
TITULO V
DISPOSICIONES FINALES
Artículo 27. Definición de los grupos para la aplicación del Régimen de Calidad y Descuentos para el Servicio de Acueducto. Para la implementación del Régimen de Calidad y Descuentos, se definen dos grupos de empresas de acuerdo con su tamaño:
Grupo I Prestadores con menos de 25.000 suscriptores
Grupo II Prestadores con 25.000 suscriptores o más.
Estos criterios serán tenidos en cuenta en la definición de los grupos comparable dentro de la construcción del IQR, en la definición de los niveles máximos de descuento y en la determinación de los periodos de implementación.
Artículo 28. Revisión de Información y Plazos. Las personas prestadoras del servicio público domiciliario de acueducto contarán con 12 meses en caso del Grupo I, y 6 meses en el caso del Grupo II, contados a partir de la publicación de la presente Resolución, para adecuar sus sistemas de calidad de forma que una vez se cumplan estos plazos, la información necesaria para la aplicación del “Régimen de Calidad y Descuentos para el Servicio de Acueducto” se encuentre disponible en el Sistema Único de Información (SUI).
Las personas prestadoras deberán suministrar al SUI los registros necesarios para calcular los indicadores establecidos en la presente resolución con una periodicidad mensual. Adicionalmente, las Auditorias Externas de Gestión y Resultados y/o las Oficinas de Control Interno, para el cumplimiento de sus funciones, y los Vocales de Control, Veedores Ciudadanos y usuarios en general, podrán verificar la información reportada.
Dentro del periodo de adecuación de la información, señalado en el primer inciso de este artículo, la Superintendencia de Servicios Públicos Domiciliarios implementará un sistema para la publicación de los indicadores que forman parte del “Régimen de Calidad y Descuentos para el Servicio de Acueducto”.
PARÁGRAFO. El reporte de información errónea o incompleta implicará la aplicación de los descuentos máximos considerados por la presente resolución.
Artículo 29. Definición de Metas. Una vez se cumpla el plazo definido para la adecuación y el reporte de la información, de acuerdo con lo señalado en el artículo anterior, los prestadores deberán cumplir metas que implican el mejoramiento del indicador de calidad técnica del servicio (ICTS) y la reducción en el número promedio de quejas y reclamos (xR,n). El descuento se hace efectivo en la medida que los prestadores incumplan con dichas metas, de acuerdo con lo señalado en los Artículos 20 y 21 de la presente Resolución.
Indicador de Calidad Técnica del Servicio
La meta con la cual se compara ICTSRT registrado para el periodo actual (t), se determina con base en la siguiente expresión:
![]()
Donde:
ICTSMl(t): Es la meta para el periodo actual, con base en la cual se define el descuento en el cargo variable para el circuito l.
ICTSRl(t-1): Es el indicador de calidad técnica del servicio determinado en el periodo anterior para el circuito l.
Es decir que la meta que debe alcanzar el prestador, es un incremento en el indicador que corresponde al 30% de la diferencia entre el valor del indicador de calidad técnica del servicio registrado en el periodo anterior y el máximo valor que este indicador puede adoptar. En la medida que el indicador de calidad técnica del servicio no cumpla con el incremento señalado con relación al periodo inmediatamente anterior, se generarán descuentos en el cargo variable del servicio de acueducto.
Tanto las metas como los descuentos serán definidos cada seis meses, con base en el valor obtenido para ICTSRl, cuyo cálculo debe ser realizado con una periodicidad semestral, y corresponde al promedio de los ICTSl registrados durante los seis meses previos a la definición del descuento.
De esta forma, el primer valor del ICTSRl será definido seis meses después de la culminación del periodo de adecuación de información, mientras que la primera meta deberá alcanzarse seis meses más tarde.
Número de Quejas y Reclamos por Facturación (xn)
La meta que debe ser obtenida en lo que respecta al número de quejas y reclamos por facturación resueltas a favor del usuario (xn), correspondientes al prestador n para el periodo actual (t), será calculada de la siguiente manera:
![]()
Donde:
XM,n,t Es el número de quejas y reclamos meta definido para el prestador n, correspondientes al periodo actual.
xR, n, t - 1 Es el promedio del número de quejas ponderadas (x) registrado por la n-ésima empresa en el periodo anterior.
Xmint-1 Número mínimo de quejas y reclamos por facturación resueltas a favor del usuario, ponderadas por instancia, registradas en la muestra de prestadores pertenecientes a cada una de las categorías definidas en el artículo 27, en el periodo anterior.
Las metas y los descuentos relacionados con el número de quejas y reclamos serán definidos cada seis meses, con base en el valor obtenido para xR,n,, cuyo valor debe ser calculado con una periodicidad semestral, y corresponde al promedio de los xn registrados durante los seis meses previos a la definición del descuento.
En consecuencia, el primer valor del IQRR,n será definido seis meses después de la culminación del periodo de adecuación de información, mientras que la primera meta de reducción en el valor de xR,n deberá alcanzarse seis meses más tarde.
Artículo 30. Subsidios y aportes solidarios. Los subsidios o aportes solidarios se aplicarán sobre el valor del servicio, una vez se haya efectuado el descuento correspondiente. Los subsidios o aportes se calcularán en cada caso de acuerdo con los porcentajes vigentes según corresponda a la clase o de usuario.
Artículo 31. Facturación. Las personas prestadoras deberán emitir la factura en donde se cumplan los requisitos establecidos en las disposiciones que regulan la materia y en el contrato de condiciones uniformes. Adicionalmente, se deberá incluir, entre otros, el monto base de descuento y los descuentos derivados de la aplicación del “Régimen de Calidad y Descuentos para el Servicio de Acueducto”.
Teniendo en cuenta la forma como se generan los ciclos de facturación, y que tanto el factor de descuento para el cargo variable como para el cargo fijo se definen semestralmente con base en el desempeño registrado por los prestadores durante los seis meses previos a la definición del descuento, estos factores, así como los descuentos asociados a estos, deberán hacerse efectivos a más tardar en el siguiente período de facturación y serán aplicados por tantos ciclos como sea necesario para reflejar un periodo de seis meses, tras lo cual tendrá que definirse un nuevo factor de descuento.
Artículo 32. Vigencia. La presente resolución rige a partir de la fecha de su expedición”.
“Dada en Bogotá a los XX días del mes de XX de 2007”.
“Publíquese y Cúmplase”
“Presidente”
“Leyla Rojas Molano”
“Directora Ejecutiva”
“Clara Lucía Uribe Payares”.
ARTÍCULO 2o. El Director Ejecutivo invita a los agentes del sector, a los usuarios, a la Superintendencia de Servicios Públicos Domiciliarios para que remitan observaciones o sugerencias a la propuesta consagrada en el artículo 1o de la presente resolución, así como a los soportes técnicos que también se harán públicos en la página web www.cra.gov.co
ARTÍCULO 3o. Las observaciones, reparos o sugerencias se recibirán durante los cuatro meses siguientes a la publicación de la presente Resolución, en las instalaciones de la CRA ubicadas en la carrera 13 número 28-01, piso 5o de Bogotá, D.C., teléfono 3272800, en el correo electrónico correo@cra.gov.co o en el fax 3509393. El jefe de la Oficina de Regulación y Políticas de Competencia de la Comisión de Regulación de Agua Potable y Saneamiento Básico, es la persona que recibirá las observaciones, reparos o sugerencias, y atenderá las solicitudes de información sobre el proyecto.
ARTÍCULO 4o. VIGENCIA. La presente resolución rige a partir de la fecha de su publicación.
Dada en Bogotá, D.C., a los 25 días del mes de septiembre de 2007.
Publíquese y cúmplase.
La Presidenta,
LEYLA ROJAS MOLANO.
La Directora Ejecutiva,
CLARA LUCÍA URIBE PAYARES.
***
1. La justificación para la definición de estos factores, se presenta en el Documento de Trabajo de la Presente Resolución en la Sección 4.1.2, página 41.
2. El número de mediciones por sistema se determina de acuerdo con lo señalado en la Resolución 315 de 2005, o la que la modifique, sustituya o adicione (Ver Documento de Trabajo, Sección 4.2.2, página 49).
3. Ver Documento de Trabajo, Sección 4.2.2.
4. La sección B.7.3.4 de la Resolución No. 1096 de 2000, “Por la cual se adopta el Reglamento Técnico para el sector de Agua Potable y Saneamiento Básico, RAS”, define lineamientos sobre el trazado de la red y específicamente sobre la conformación de circuitos cerrados en redes secundarias.
5. Ver Documento de Trabajo, Sección 4.4
6. Ver Documento de Trabajo, Sección 5.2.2
7. Ver Documento de Trabajo, Sección 6.2.